buku nisbah kewangan
Standard Pembelajaran Penyata kewangan ialah rekod formal kegiatan kewangan sesebuah. Nisbah yang tinggi menunjukkan pelabur sanggup membayar lebih bagi setiap ringgit nilai buku saham tersebut.
Eppm 2114 Pengurusan Kewangan Kuliah 2 Analisis Penyata
Penyelaras PSS perlu mengetahui sumber serta kedudukan kewangan PSS dan memahami prosedur penggunaan kewangan PSS.
. III Memanjangkan tempoh jualan kredit. II Menambahkan belian barang niaga. CONTOH JAWAPAN TERBAIK - Juga dikenali sebagai nisbah harga ekuiti.
Ø Menilai kaitan antara satu angka perakaunan dengan satu angka perakaunan yang lain. Nilai Buku Sesaham RM13 000 RM325 4 000 Nisbah Pasaran RM360 RM325 111. Ø Menunjukkan maklumat tentang kedudukan kewangan sebuah syarikat pada tarikh tertentu.
Ø Proses mengira dan mentafsir nisbah-nisbah yang telah dikenal pasti untuk mendapatkan petunjuk berkenaan kedudukan kewangan sesebuah perniagaan. Nisbah Kecairan Nisbah cepat Mengukur kemampuan perniagaan membayar balik pinjaman dalam masa yang singkat iaitu dalam tempoh setahun. Ia tidak berfungsi dengan baik untuk syarikat yang mempunyai aset tidak ketara.
Sebaliknya ia juga dapat dikira dengan membagi permodalan pasaran dengan jumlah nilai buku atau nilai bersih ketara syarikat. Membuat justifikasi terhadap kedudukan kewangan sesebuah organisasi berdasarkan peratus nisbah-nisbah berdasarkan penyata kewangan yang diberikan. Kewangan Pusat Sumber perlu diuruskan secara kemas kini dan sistematik untuk memastikan urusan pentadbiran dan pengurusan PSS berjalan dengan sempurna dan segala rancangan serta aktiviti dapat dilaksanakan sebaik mungkin.
Pencapaian perniagaan pada masa kini Nisbah pasaranbuku Nisbah semasa 1. Nisbah pasaran ke buku biasanya digunakan oleh pelabur untuk menunjukkan persepsi pasaran terhadap nilai saham tertentu. Bab 6.
Check more flip ebooks related to NOTA RINGKAS PRINSIP PERAKAUNAN TINGKATAN 5 of PNCHONG. Pengiraan dapat dilakukan dalam dua cara tetapi hasilnya harus sama dengan setiap cara. Pilih tindakan yang perlu diambil untuk memperbaiki tahap kecairan syarikat itu.
Nisbah kewangan dicipta dengan penggunaan nilai berangka yang diambil dari penyata kewangan Tiga Penyata Kewangan Ketiga penyata kewangan adalah penyata pendapatan kunci kira-kira dan penyata aliran tunai. Modal Kerja Modal Pusingan. Analisis ini amat penting bagi sesebuah perniagaan untuk membuat perancangan dan membuat keputusan supaya perniagaan sentiasa menjadi lebih baik.
Nisbah semasa nisbah cepat. Prinsip perakaunan spm nota nota ringkas koleksi soalan modul 1 analisis dan tafsiran penyata kewangan untuk membuat keputusan accounting study. Analisis Penyata Kewangan Dan Analisis Nisbah by nor 316897.
Nilai buku merupakan jumlah ekuiti pemilik yang tercatat dalam Kunci Kira-kira. Analisis dan tafsiranmodul penyata kewangan 1 untuk membuat keputusan jika saya membeli jika saya. Menunjukkan kadar untung pulangan yang diperoleh.
Mh buku latihan top one kssm tingkatan 4 5 prinsip perakaunan pelangi shopee singapore. BAB 3 ANALISIS PENYATA KEWANGAN 174 NISBAH KEWANGAN Nisbah Kewangan Kaedah yang digunakan. Ø Menyenarai semua milik syarikat obligasi dan.
Aset semasa rm 12840 _____ _____ rm 6500 liabiliti semas. View 87421484-NISBAH-KEWANGAN 1pdf from BACHELOR O BBUS2103 at Open University Malaysia. Bab 6akaun kelab dan persatuan nota latihan 7.
Cara pertama permodalan pasaran syarikat boleh dibahagikan dengan nilai buku keseluruhan syarikat dari lembaran. NISBAH KEWANGAN Definisi. Interested in flipbooks about NOTA RINGKAS PRINSIP PERAKAUNAN TINGKATAN 5.
Ketiga-tiga pernyataan inti ini adalah untuk mendapatkan maklumat yang bermakna mengenai syarikat. Nisbah Kewangan Item Maksud Jenis Nisbah Nisbah kecairan. Instrumen kawalan kewangan yg digunakan utk menilai dan mengawal prestasi ssbuah perniagaan NISBAH FORMULA KETERANGAN NISBAH KECAIRAN Mengukur kemampuan perniagaan membuat bayaran kpd pihak bank dan pemiutang dalam jangka pendek iaitu menunjukkan keupayaan perniagaan menjelaskan liability semasa apabila.
Nisbah kewangan adalah nisbah yang digunakan untuk menganalisis penyata kewangan syarikat untuk menilai prestasi di mana nisbah ini digunakan mengikut hasil yang diperlukan dan nisbah ini dibahagikan kepada lima kategori luas iaitu nisbah kecairan nisbah leverage kewangan nisbah kecekapan nisbah keuntungan dan nisbah nilai pasaran. B Nisbah Pasaran Buku Nisbah ini memberi gambaran tentang persepsi pelabur terhadap saham syarikat. Terdapat 3 jenis nisbah kewangan yang perlu dikuasai dalam modul ini iaitu.
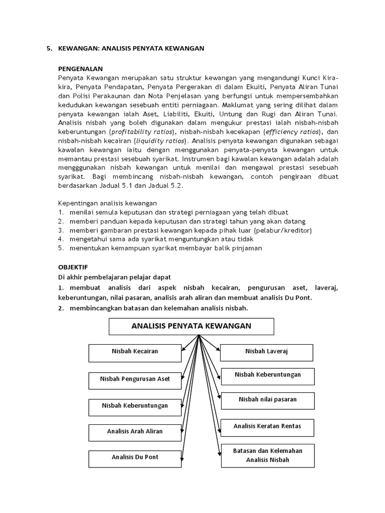
Mentafsir penyata kewangan menggunakan Nisbah Asas. 17 NISBAH KEWANGAN b ANALISIS ARAH ALIRAN ANALISIS KERATAN RENTAS aJENIS NISBAH KEWANGAN c. Terhadap operasi kewangan bagi sesebuah perniagaan.
Unit Saham Nisbah PasaranBuku Harga pasaran sesaham semasa Nilai buku sesaham 51 Cth. Nisbah harga-ke-buku atau nisbah P B adalah nisbah kewangan yang digunakan untuk membandingkan harga pasaran semasa syarikat dengan nilai buku. Pada masa yang sama jumlah nombor besar dalam penyata kewangan syarikat boleh membingungkan.
Nisbah kewangan yang dipilih untuk menjalankan kajian ini adalah nisbah semasa nisbah cepat nisbah hutang atas aset nisbah hutang atas ekuiti dan pusing ganti jumlah aset. Nisbah kewangan tersebut akan mempengaruhi nisbah persekitaran umum dan persekitaran tugas Zahari Mahamad 2016. Nisbah ini dapat dikira dengan membahagikan nilai pasaran saham dengan nilai buku per saham syarikat.
Apabila membuat pelaburan menganalisis maklumat penyata kewangan juga dikenali sebagai analisis kuantitatif adalah salah satu jika bukan unsur yang paling penting dalam proses analisis fundamental. Analisis dan Tafsiran Penyata Kewangan untuk Membuat Keputusan 11 Analisis Penyata Kewangan dan Perbandingan Prestasi Analisis ini amat penting bagi sesebuah perniagaan untuk membuat perancangan dan membuat keputusan supaya perniagaan sentiasa menjadi lebih baik Terdapat 3 jenis nisbah kewangan yang perlu dikuasai dalam modul ini iaitu. Pendapatan sesaham nisbah harga atas keuntungan nisbah pasaranbuku nisbah kecairan butir.
IV Menjual sebahagian aset bukan semasa. Ini digunakan untuk menilai syarikat insurans dan kewangan syarikat harta tanah dan kepercayaan pelaburan. Soalan Akaun Tingkatan 4 Myb Buku Latihan Pelangi.
View flipping ebook version of NOTA RINGKAS PRINSIP PERAKAUNAN TINGKATAN 5 published by PNCHONG on 2020-11-01. Nisbah kewangan dan operasi dikelaskan kepada. Ia dikira dengan membahagikan harga penutupan semasa stok oleh nilai buku sesaham terakhir sesaham.
Nisbah hutang atas aset nisbah hutang atas ekuiti. ¾ Analisa yang menjadi tumpuan yang boleh mendatangkan ketidakstabilan terhadap prestasi dan perjalanan operasi ancaman terhadap ketidakupayaan menanggung pinjaman dan si pemiutang serta ketidakupayaan kutipan. I Membuat pinjaman bank.
Nisbah semasa Syarikat Perdana ialah 12. Buku Perakaunan Nisbah Kewangan PRINSIP PERAKAUNAN SPM. 11 Analisis Penyata Kewangan dan Perbandingan Prestasi.
Pengenalan Nisbah Kewangan Financial Ratio Eza. Secara matematik ia dilambangkan sebagai 1 Formula Market to Book Ratio Nilai pasaran stok Nilai buku sesaham.
Bab 1 Ting 5 Analisis Nisbah Worksheet
Bab 2 Maklumat Dan Analisis Kewangan Pdf
2 10 Menghitung Nisbah Dalampenyata Kewangan Dan 3 1 Analisis Penyata Kewangan Dan Analisis Nisbah Pdf
Bab5 Analisis Penyata Kewangan Pdf

Belum ada Komentar untuk "buku nisbah kewangan"
Posting Komentar